РУБРИКИ

Курсовая: Обращение векселя в РФ

   РЕКЛАМА

Главная

Логика

Логистика

Маркетинг

Масс-медиа и реклама

Математика

Медицина

Международное публичное право

Международное частное право

Международные отношения

История

Искусство

Биология

Медицина

Педагогика

Психология

Авиация и космонавтика

Административное право

Арбитражный процесс

Архитектура

Экологическое право

Экология

Экономика

Экономико-мат. моделирование

Экономическая география

Экономическая теория

Эргономика

Этика

Языковедение

ПОДПИСАТЬСЯ

Рассылка E-mail

ПОИСК

Курсовая: Обращение векселя в РФ

Курсовая: Обращение векселя в РФ

Глава I

Общие сведения о векселе.

1. Вексель как кредитно-расчетный инструмент.

Вексель, как инструмент кредитно-расчетных отношений явился результатом

многовекового развития товарно-денежного хозяйства.

Его появление было связано с необходимостью перевода денег из одной местности

в другую, а так же при обмене монет, имеющих хождение в одной местности, на

валюту другого государства. Это порождало множество затруднений: риск быть

ограбленным, запрет на вывоз монет за пределы страны, где они чеканились, да

и просто физические трудности перехода из-за громоздкости монет. Как выход из

создавшегося положения появилась сделка, связанная с переводом и обменом

денег и состоявшая во внесении определенному лицу суммы денег в одном месте с

обязательством последнего уплатить такую же сумму в другом месте монетой,

имеющей хождение в том месте, т.е. вексельной сделки (от английского Wechel –

обме­нивать, менять).

Толчком к развитию вексельных отношений послужила практика банкиров, менял

средневековой Италии. Купец, отправляясь на ярмарку и не рискуя брать с собой

боль­шую сумму наличных денег, обращался к своему банкиру, вносил деньги и

получал от него письмо банкиру в месте назначения с просьбой о выдаче

эквивалентной суммы.

Так появляются три участника вексельных отношений:

1) ремитент (векселедержатель) – владелец векселя, имеющий право на пла-

теж по векселю. 2) трассант (векселедатель) –лицо, выдавшее вексель.

3) трассат (плательщик).

Отношение этих трех сторон оформлялось документом (траттом), который слу­жил,

с одной стороны, удостоверением личности ремитента, как лица, которому в

оп­ределенном месте должен быть произведен платеж, с другой же стороны - он

имел дока­зательства его права требования. Приняв вексель к платежу и

превратившись в акцептанта, трассат становится главным должником по векселю.

В процессе обращения вексель передается от одного держателя к другому с

помо­щью передаточной надписи (индоссамента). Каждый индоссант, так же, как и

ремитент, несет ответственность за акцепт и платеж по векселю.

Вексельные обязательства платежника, векселедателя и индоссантов могут быть

дополнительно гарантированы полностью или части суммы посредством аваля –

век­сельного поручительства (фр. – avail), в силу которого лицо (авалент),

совершившее его, принимает часть ответственности за выполнение какого-либо из

обязанных по векселю лиц.

Посредством векселя, как расчетно-кредитного инструмента можно гасить

взаим­ные долги по цепочке дебиторов и кредиторов, спасать оборотные

средства, обеспечи­вать целевое использование кредита и т.д. Вексель, являясь

средством оформления кредита в товарной

форме, способствует увеличению скорости оборота, уменьшению потребности в

кредитных ресурсах и де­нежных средствах в целом, позволяет хозяйственным

субъектам использовать денежные средства в собственных целях.

2. Сущность векселя как финансового инструмента.

Вексель выполняет две главные функции: кредитную и расчетную.

Рассмотрим расчетную функцию векселя. В сущности, позволяя векселедателю

рассчитываться, выпускать векселя в обращение, вексель выступает как средство

расче­тов, т.е. заменяет деньги, важнейшей функцией которых является то, что

они могут быть средством обращения. Мы наблюдаем эволюцию: деньги в части

заменили бартер, натуральный обмен, отделив акт продажи от акта покупки, –

вексель в части заменил деньги, отделив акт платежа от акта получения денег.

Второй функцией денег является выступление их мерой стоимости. Общество

счи­тает удобным использование денежной единицы в качестве масштаба для

соизмерения относительной ценности благ и ресурсов.

Это имеет очевидные преимущества. Благодаря денежной системе нам надо

выра­жать цену каждого продукта через другие продукты. И снова вексель являет

собой сле­дующую ступень: он аккумулирует в себе эту функцию денег, выражая

собой стоимость того или иного товара в денежном выражении, но избавляя нас

от процесса пересчета, перевода, хранения денег, являясь универсальным

средством платежа. Кроме того, в каждой стране обычно устанавливается своя

мера стоимости. В США мерой стоимости является доллар, в Германии – марка, в

России – рубль. Вексель помогает не только вести расчеты, но и обменивать

деньги. Средство обмена – самая древняя функция векселя. Ради нее он

собственно и был рожден в далекой средневековой Италии. Векселем являлось

письмо, с просьбой об обмене векселя (данного в одной стране и обеспеченного

одной валютой) на деньги (в другой стране и в другой валюте).

Следующая функция , “функция денег” – деньги как средство накопления,

сохраняемый после продажи товаров и услуг, и обеспечивающий его владельцу

покупательную способность в будущем[1].

Вексель полностью выполняет и эту функцию. Он сохраняет деньги векселедателю,

позволяя вместо наличных денег выпускать вексель, а наличные деньги ис-

Класс векселей достаточно многообразен, они отличаются по эмитенту, обслуж

обслуживаемым сделкам и субъекту, получаемой оплате.

По признаку эмитента различают:

- казначейские векселя – краткосрочные долговые обязательства, выпускаемые

правительством страны обычно при посредничестве Центрального банка со сроком

погашения, как правило, от 90 до 180 дней;

- частные векселя – эмитируются корпорациями, финансовыми группами,

коммерческими банками.

Вексель может обслуживать чисто финансовые и товарные сделки. Финансовый

вексель отражает отношение займа денег векселедателем у векселедержателя под

определенные проценты. Посредством финансового векселя осуществляется выдача

кредита, перечисление в бюджет налогов, получение бюджетного финансирования,

заработной платы, обмен валюты и т.п.

Разновидностями этого финансового векселя являются:

- дружеский вексель – выдается одним лицом другому без намерения

векселедателя произвести по нему платеж, а лишь с целью изыскания денежных

средств путем взаимного учета этих векселей в банке. Обычно дружескими

векселями (на равные суммы, сроки) встречно обмениваются два реальных лица,

находящиеся в доверительных отношениях, для того, чтобы потом учесть или

отдать под залог в банке, получив под него реальные деньги, или совершить

платеж за товары.

- бронзовый вексель – это вексель, за которым не стоит реальная сделка, нет

никакого реального финансового обстоятельства, при этом хотя бы одно лицо,

участвующее в сделке является вымышленным. Цель такого векселя – получить под

него деньги в банке либо использовать для погашения долгов по реальным

товарным сделкам или финансовым обязательствам.

Бронзовые и дружеские векселя возникают при затруднительном финансовом

положении "кредитора" или при проведении им мошеннической операции. Такие

векселя фальсифицируют денежный оборот, провоцируя налоговые неплатежи.

В основе товарного векселя лежит сделка по купле-продаже. В этом качестве

может выступать, с одной стороны, как орудие кредита, а с другой стороны –

выполнять функции расчетного средства, многократно переходя из рук в руки и

обслуживая вместо денег многочисленные акты купли-продажи товаров.

Простой и переходной вексель.

В настоящее время страны-участники Женевской вексельной конвенции 1930 года

(в том числе и Россия как правопреемница СССР) применяют на своих территориях

"Единообразный вексельных закон". Этот закон предусматривает два вида

векселя: простой и переводной.

Простой вексель представляет собой письменный документ, содержащий простое и

ничем не обусловленное обязательство векселедателя уплатить определенную

сумму денег в определенный срок и в определенном месте векселедержателю или

по его приказу другому лицу. В простом векселе с самого начала участвуют два

лица: 1) векселедатель, который сам обязуется уплатить по выданному векселю;

2) векселедержатель, которому принадлежит право на получение платежа по

векселю.

Под переводимым векселем понимается письменный документ, содержащий

безусловный приказ векселедателя платежнику уплатить определенную сумму денег

в определенное время и в определенном месте векселедержателю или по его

приказу другому лицу. Векселедатель обязует оплатить вексель некоторое лицо,

а сам становится гарантом платежа. Векселедатель называется трассантом, а

плательщик – трассатом. В переводном векселе изначально участвуют не два, как

в простом, а три лица: 1) векселедержатель, переводящий платеж на трассата;

2) векселедержатель, имеющий право на получение платежа у трассата; 3)

трассат, являющийся плательщиком по векселю.

На практике предпочтение отдается переводному векселю, т.к. при наличии на

нем сразу двух подписей – векселедателя и трассата (акцептанта) – гарантии

платежа по векселю повышаются, и последний кредитор может приобрести вексель

при меньшей степени риска операции. Таким образом, чаще всего появление

переводимого векселя связано с появлением товарной сделки.

Преимущества векселя заключаются в соединении двух функций – кредитной и

расчетной. Как расчетный инструмент, благодаря свойству индоссирования,

вексель может служить платежным средством, заменяя наличные деньги при

платежах. Что касается кредитной функции, то обычным являлось оформление

товарного кредита переходным векселем по следующей схеме: поставщик товара

(векселедержатель кредитного векселя) одновременно с заключением сделки

выставляет переводной на покупателя с указанием себя, как получателя платежа

по векселю (приказу векселедержателя).

Покупатель после акцепта векселя становится основным должником по нему

(акцептантом), векселедержатель в данном случае является кредитором и

становится держателем векселя.

Таким образом, кредит оформляется с помощью "унифицированного кредитного

договора" – векселя.

Векселедержатель может оставить вексель в своей собственности и, при

наступлении срока платежа, предъявить его должнику к погашению, он может

оплатить векселем новый товар, покупаемый им самим, или перепродать вексель,

как ценную бумагу, следующему кредитору.

Обращение векселя имеет как общие черты, так и свои особенности, отличающие

его от других ценных бумаг. Общее – то, что так же, как и облигации,

депозитные сертификаты и другие ценные бумаги на предъявителя, вексель на

предъявителя обращается путем простого вручения новому владельцу

(векселедателю). Особенностью является то, что в отличие от акций и

облигаций, которые передаются путем купли-продажи с последующим изменением с

списке акционеров, или имеющих сертификатов, которые передаются путем

совершения цессии - двусторонней уступки требований, векселя передаются

путем совершения передаточной надписи – индоссамента, удостоверяющего переход

прав по векселю от одного лица к другому.

Индоссамент должен быть непрерывным, простым и ничем не обусловленным. Он

помещается на самом векселе или на аллонже (присоединенному к векселю листе).

Существует несколько видов индоссамента:

1) Полный индоссамент – переносит на нового держателя все права, связанные с

векселем. Индоссамент должен быть только полным.

2) Частичный индоссамент – переносит на нового держателя векселя лишь часть

прав, связанных с векселем. Частичный индоссамент не допускается.

3) Бланковый индоссамент – не содержащий указание лица, в пользу которого он

сделан, или состоящий из подписи индоссанта. Превращает именной вексель в

вексель на предъявителя.

4) Именной индоссамент – содержащий указание лица, в пользу которого он сделан.

5) Безоборотный индоссамент – совершаемый с оговоркой "без оборота на меня",

снимающий ответственность с векселедателя по неоплаченному и опротестованному

в неплатеже векселю.

6) Оборотный индоссамент – совершаемый без оговорки "без оборота на меня".

7) Индоссамент с оговорками – индоссамент может содержать оговорки "на

инкассо", "как доверенному", "валюта к поручению", имеющий ввиду простое

поручение провести операции по векселю, "валюта в обеспечение", "валюта в

залог", имеющие ввиду залог векселя.

Индоссат может в этом случае индоссировать вексель только в порядке

препоручения, т.е. с аналогичными оговорками.

8) Индоссамент без оговорок – не содержащий вышеуказанных оговорок, дающий

право индоссировать вексель в обычном порядке.

9) Препоручительский индоссамент – совершаемый с целью передачи векселя лицу,

которое по поручению индоссата проведет те или иные операции по векселю1

.

Переводной вексель имеет свои обязательные реквизиты:

1) Наименование "Вексель", включенное в текст документа, выраженное на

том языке

на котором составлен документ. 2) Простое и ничем не обусловленное обязательство

уплатить определенную сумму. 3) Наименование того, кто должен платить по векселю

(платежника). 4) Указание срока платежа. 5) Указание места платежа.

6) Наименование того, кому или по приказу кого должен быть совершен платеж.

7) Указание даты и места составления векселя. 8) Подпись векселедателя.

6. Платеж по векселю.

В силу того, что одной из самых привлекательных сторон векселя является его

платежеобеспеченность, особенно хочется сказать о платеже по векселю.

Платеж по векселю имеет существенные отличия, которые обуславливаются самой

природой векселя. Платеж должен быть сделан не первоначальному кредитору, а

векселедержателю, т.к. при возможности индоссирования векселя, только это

последнее лицо является полноправным владельцем ценности, представляемой

векселем.

Для платежа вексель должен быть предъявлен должнику кредитором в

установленный срок, таким образом, видоизменяется общее предписание о

платеже, требующее, чтобы должник доставил кредитору нужную сумму.

В случае отсутствия должника в месте платежа, а так же в случае

несостоятельности должника в данный момент времени, платеж может быть сделан

за него простым лицом.

Неуплата по предъявленному векселю ведет к протесту: не предъявление и

отсутствие протеста ведет к потере векселем его силы.

Векселедатель не имеет права отказаться и от частичной оплаты по векселю в

интересах вторично ответственных по векселю сторон, хотя, в принципе, вексель

должен быть оплачен полной суммой.

Нормальный процесс вексельного обращения завершается оплатой векселя в срок

и, оплачивая вексель, плательщик освобождает себя от вексельного

обязательства.

В условиях взаимной ответственности по вексельному платежу можно быть

уверенным, что именно вексель – то, что нужно предприятиям для обеспечения

непрерывного процесса производства и оплаты за поставленные товары и

оказанные услуги.

Инкассирование векселей.

Банки часто выполняют поручения векселедержателей по получению платежей по

векселям в срок. Банки берут на себя ответственность по предъявлению векселей

в срок плательщику и получению причитающихся по ним платежей. Если платеж

поступит, вексель возвратиться должнику. Если нет, вексель возвращается

кредитору, но с протестом в неплатеже. Следовательно, банк отвечает за

последствия, возникшие вследствие упущения протеста.

Путем этих операций банки могут сосредоточить на своих счетах значительные

средства и получают их в бесплатное пользование. Вместе с тем, они довольно

прибыльны, т.к. за инкассо взимается определенная плата.

Они выгодны и для клиента, поскольку банки благодаря тесным взаимоотношениям

между собой могут исполнять поручения клиента быстрее и дешевле, клиент так

же освобождается от необходимости следить за сроками предъявления векселей к

платежу, что требовало затрат значительно больших, чем комиссионные банка.

Домициляция векселей.

Банки могут по поручению клиента производить платежи по векселям в

установленный срок. Эта операция противоположна инкассированию.

Домицилируя вексель, банк не несет никакой ответственности, т.к. клиент

вносит сумму платежа заранее. В противном случае банк отказывает в платеже, и

вексель протестуется обычным порядком против векселедателя.

Глава II

Российская практика применения векселя и вексельного кредита.

Из (5) и (6) следует, что если обязательства размещено по номиналу и держится

до срока погашения его доходность будет равна указанной в контракте ставки

процента (т.е. Y=r).

Курсовая: Обращение векселя в РФ

Если вексель продается (покупается) между датами выпуска и погашения, абсолютная

величина дохода S будет распределена между продавцом и покупателем в

соответствии с рыночной ставкой (нормой доходности покупателя) Y на данный

момент времени и пропорционально сроку хранения ценной бумаги каждой из сторон.

Часть дохода, причитающаяся покупателю за оставшийся до погашения срок t2

, будет равна:

где t2 - число дней от момента покупки до погашения векселя.

Соответственно, продавец получит величину:

Sпрод = S – Sпок (8)

Соотношение (7) и (8) отражают ситуацию равновесия на рынке (т.е.

"справедливое" распределение доходов в соответствии с рыночной ставкой Y и

пропорционально сроку хранения бумаги каждой из сторон). Любое отклонение в

ту или иную сторону повлечет за собой перераспределение дохода в пользу

одного из участников сделки.

Курсовая: Обращение векселя в РФ

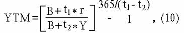
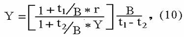
Предельная величина рыночной ставки Y, при которой продавец бумаги получит

доход, должна удовлетворять неравенству:

где r - ставка по векселю;

Y - рыночная ставка;

t1 - число дней до погашения в момент покупки;

t2 - число дней до погашения в момент перепродажи;

Курсовая: Обращение векселя в РФ

При этом доходность операции будет равна:

Курсовая: Обращение векселя в РФ

где YTM - эффективная доходность

4.2. Оценка стоимости финансовых векселей.

Процесс оценки стоимости векселя, выпущенного с дисконтом, заключается в

определении современной величины элементарного потока платежей по формуле

простых процентов исходя из требуемой нормы доходности Y.

Курсовая: Обращение векселя в РФ

С учетом используемых обозначений формула текущей стоимости (цены) подобного

обязательства будет иметь вид:

Курсовая: Обращение векселя в РФ

Поскольку номинал дисконтного векселя принимается за 100%, его курсовая

стоимость равна:

Курсовая: Обращение векселя в РФ

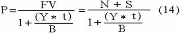
Определение современной стоимости процентных векселей. С учетом накопления на

момент проведения операции дохода стоимость обязательства (Р),

соответствующая требуемой норме доходности Y может быть определена из

соотношения:

где – t число дней до погашения.

При Y=r рыночная стоимость обязательства на момент выпуска будет равна номиналу

(т.е. Р=N). Соответственно, при Y>r будет Р<N и вексель размещается с

дисконтом, а в случае Y<r с премией (т.е. Р>N).

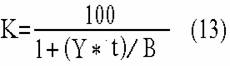
Таким образом, рыночная стоимость векселя с учетом накопленного дохода,

определяемая из (14), может отклоняться от номинала. Однако в биржевой

практике принято котировать в процентах к номиналу, т.е. за 100 единиц на

дату сделки. При этом ставка дохода по обязательствам r показывается

отдельно.

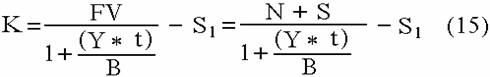
Курсовая: Обращение векселя в РФ

Курсовая стоимость обязательства К, проводимая в биржевых сводках,

определяется как:

где t - число дней до погашения;

S1 – абсолютная величина дохода, накопленная к дате совершения сделки.

Курсовая: Обращение векселя в РФ

В свою очередь величина S1 может быть найдена из следующего соотношения:

где t1 - число дней от момента выпуска до даты сделки.

Таким образом, полная рыночная стоимость векселя Р может быть так же определена

как:

P = K + S1

4.3. Анализ учета векселей.

При учете вексель выполняет две функции: коммерческого кредита и средства

платежа.

Курсовая: Обращение векселя в РФ

Абсолютная величина дисконта определяется как разность между номиналом

векселя и его современной стоимостью на момент проведения операции. При этом

дисконтирование осуществляется по учетной ставке d, устанавливаемой банком:

где t - число дней до погашения;

d - учетная ставка банка;

P - сумма, уплаченная владельцу при учете векселя;

N - номинал;

Курсовая: Обращение векселя в РФ

Современная стоимость PV (ценные обязательства Р) при учете векселя по формуле:

Суть данного метода заключается в том, что проценты начисляются на сумму,

подлежащую уплате в конце срока операции. При этом применяется учетная ставка

d.

Курсовая: Обращение векселя в РФ

При дисконтировании по учетной ставке чаще всего используют временную базу

360/360 или 360/365. Используемую при этом норму приведения называют

антисипативной ставкой процентов[2].

Учетная ставка d иногда применяется и для наращивания по простым процентам.

Необходимость в таком наращивании возникает при определении будущей суммы

контракта, например, общей суммы векселя. Формула определения будущей величины

в этом случае имеет вид:

Пример 1:

Простой вексель на сумму 100 000 с оплатой через 90 дней учитывается в банке

за 60 дней до погашения. Учетная ставка банка 15 %. Определить величину

дисконта в пользу банка и сумму, полученную владельцем векселя.

Disc = (100000 * 60 * 0.15) / 360 = 2500;

Соответственно, владелец векселя получит величину PV:

PV=100000 – 2500 = 97500;

Предположим, что в рассматриваемом примере владелец векселя решил учесть

вексель немедленно после получения, тогда:

Disc = (100000 * 90 * 0.15) / 360 = 3750;

PV = 100000 – 3750 = 96250;

Как следует из полученного результата, при неизменном значении ставки d чем

раньше производится учет векселя, тем больше будет величина дисконта в пользу

банка и тем меньшую сумму получит владелец. Изменим условия примера 1

следующим образом.

На какую сумму должен быть выплачен вексель, чтобы поставщик, проведя

операцию учета, получил стоимость товаров в полном объеме, если банковская

учетная ставка равна 15 %?

Курсовая: Обращение векселя в РФ

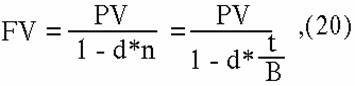
Нетрудно заметить, что здесь мы имеем дело с обратной задачей – наращиваем по

учетной ставке d. При этом будущая величина FV (номинал векселя) определяется

по формуле (20):

Курсовая: Обращение векселя в РФ

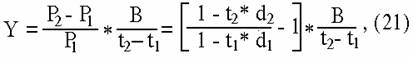
Учтенный (купленный) банком вексель в свою очередь может быть переучтен

(продан)в другом банке. Доходность купли-продажи векселя в этом случае

зависит от уровня используемых ставок:

где t1 - число дней до погашения в момент покупки ;

t2 – число дней до погашения в момент перепродажи;

P1 – цена покупки;

P2 – цена перепродажи;

d1 – учетная ставка при покупке;

Курсовая: Обращение векселя в РФ

d2 – учетная ставка при продаже.

Курсовая: Обращение векселя в РФ

Как следует из приведенных соотношений, для продавца операция переучета будет

доходной в том случае, если выполняется следующее неравенство:

Курсовая: Обращение векселя в РФ

В некоторых случаях товарные векселя могут выпускаться в виде ценной бумаги с

фиксированным доходом, выплачиваемым по ставке r в срок погашения.

Современная стоимость такого векселя при учете будет равна:

где r – ставка по векселю;

t – срок векселя;

t1 – число дней до погашения;

d – учетная ставка банка.

[1] Долан Дж. Деньги, банковское дело и

денежно-кредитная политика. С.-Пб. – 1994 г.

[2] Лукасевич И.Я. Анализ финансовых операций. М. 1998 г.


© 2007
Использовании материалов
запрещено.